[번역] [무엇이 희소해질 것인가?]

Alex Imas - 2026-04-15


스타벅스는 현대 경제에서 가장 표준화된 제품 중 하나를 판매하는 거대 기업(시가총액 1,120억 달러)입니다. 커피 한 잔이나 화려한 스페셜티 음료를 만드는 일은 기계화와 복제가 매우 쉽습니다. 만약 경제 전체가 곧 자동화되어 노동이 점점 더 정교해지는 자본으로 대체될 운명이라면, 스타벅스는 '탄광 속의 카나리아'가 되어야 합니다. 매장에서 노동을 제거하고 자동화된 자본으로 대체할 기술은 이미 수년 전부터 존재해 왔기 때문입니다. 실제로 지난 몇 년간 스타벅스는 정확히 그 길을 걸어왔습니다. 박한 마진을 높이기 위해 경영진은 커피 제조 업무를 점점 더 자동화했고, 고객에게 제품을 전달하기 위해 엄격하게 기계화된 프로세스를 도입했습니다. 하지만 자동화가 증가하는 대신 정반대의 현상이 일어났습니다. 더 적은 인력과 더 많은 자동화로 매장 경험을 간소화하려 시도한 끝에, 회사는 이것이 '실수'였다는 결론을 내렸습니다. CEO 브라이언 니콜(Brian Niccol)은 "컵에 손으로 쓴 메모", 세라믹 컵, 그리고 "훌륭한 좌석의 귀환"이 더 많은 고객을 "카페에 앉아 머물게" 만들었으며, 이는 "작은 디테일과 환대(hospitality)가 만족도를 높인다"는 것을 보여주었다고 말했습니다. 현재 매장당 더 많은 바리스타가 고용되고 있으며 자동화는 축소되고 있습니다.
경제학은 제약 조건, 즉 희소성(scarcity) 하에서의 의사결정을 연구하는 학문입니다. 만약 고등 AI가 물질적 풍요를 가져온다면, 즉 기계가 인간 생산물의 전부는 아닐지라도 상당 부분을 매우 낮은 한계 비용으로 생산할 수 있게 된다면 경제학은 무용지물이 될까요? 아닙니다. 우리는 여전히 희소성을 겪겠지만, 중요한 희소성의 '종류'가 바뀔 것입니다. 궁극적으로 고등 AI 시대의 미래 경제에 대한 모든 질문의 답은 무엇이 희소해지는가를 식별하는 것에서 시작됩니다. 그 질문에 답하고 나면 나머지 분석은 꽤 명확해집니다. 이 에세이에서 우리는 자동화가 인간 생산물의 전부는 아닐지라도 상당 부분을 복제할 수 있을 때 무엇이 희소해지는지, 그리고 그것이 새롭게 등장할 직업의 유형에 어떤 의미를 갖는지 탐구해 보겠습니다.
산업화 이전에는 제품과 그 제품을 만든 사람을 분리하기 어려웠습니다. 셔츠를 만든 직공, 빵을 구운 제빵사 등 당신은 그들을 개인적으로 알고 있었고, 그들의 기술과 평판은 판매하는 제품과 결부되어 있었습니다. 경제적 거래에는 소비 경험과 본질적으로 연결된 뚜렷한 사회적 요소가 있었습니다. 산업적 생산 공정은 공예를 표준화되고 반복 가능한 단계로 분해함으로써 이를 변화시켰습니다. 미리 정해지고 규칙화된 단계에 따라 노동자들이 수행하는 자본주의는 새로운 것, 즉 제품의 가치가 누가 만들었느냐와 무관하게 제품 그 자체에 존재하는 '상품 형태(commodity form)'를 만들어냈습니다. 테이블은 테이블이고, 전화기는 전화기일 뿐입니다. 당신이 이 에세이를 읽고 있는 화면은 한 국가에서 설계되고 다른 국가에서 제조되었으며, 전 세계의 부품을 사용했습니다. 하지만 기기를 구매하고 사용하는 경험에 있어 이런 사실은 중요하지 않습니다.
마르크스는 의도적으로 편향된 언어를 사용하여 이 과정을 설명했습니다. 그는 상품 형태가 '착취(exploitation)', 즉 노동자가 생산한 가치보다 적은 임금을 지급하는 능력 위에 세워졌다고 주장했습니다. 이것이 가능했던 이유는 자본주의 생산 공정이 '소외(alienation)', 즉 노동자를 노동의 결과물, 제조 과정, 그리고 궁극적으로는 서로로부터 단절시키는 것에 기반했기 때문입니다. 한때 개인의 공예였던 것은 추상적인 '노동력(labor power)'이 되었고, 원자재처럼 사고팔 수 있는 생산 요소가 되었습니다. 마르크스는 이를 자본주의의 가장 깊은 병폐로 보았습니다. 하지만 경제학자들에게, 그리고 세상 전반에 있어 상품 형태는 엄청난 번영의 엔진이었습니다. 생산이 더 이상 특정 개인에게 묶여 있지 않다면, 생산은 분해되고 재조직되어 대양을 건너 운송될 수 있으며, 적은 자원을 막대한 부로 바꾸는 방식으로 확장될 수 있었습니다. 두 가지 사실이 동시에 존재했습니다. 상품 형태는 엄청난 부와 번영을 창출했지만, 특정 제품 뒤에 숨은 인간을 보이지 않게 만들었고, 궁극적으로 대체 가능하게 만들었습니다.
이것이 바로 AI가 경제에 미칠 영향에 대한 대부분 사람의 멘탈 모델입니다. 기계가 인간이 할 수 있는 모든 것을 생산하고, 보고서를 쓰고, 이미지를 생성하고, 노래를 작곡하고, 방사선 사진에서 진단을 내릴 수 있다면, 인간은 생산의 모든 측면에서 대체될 것이며 일자리는 단순히 사라질 것입니다. 노동은 자본으로 대체될 것입니다. 데이비드 오터(David Autor)와 닐 톰슨(Neil Thompson)은 최근 발표한 중요한 논문에서 이 견해에 반박합니다. 그들은 AI가 단순히 일자리를 없애는 것이 아니라, 인간 전문성의 경제적 가치를 재편할 것이라고 주장합니다. 그들의 프레임워크는 특정 직업 내에서 전문적인 과업과 비전문적인 과업을 구분합니다. 자동화가 단순한 과업을 제거할 때(회계 소프트웨어가 장부 기록원을 대신한 것처럼), 남은 업무는 더 전문화되고 임금은 상승하며 자격을 갖춘 노동자는 줄어듭니다. 반면 자동화가 어려운 과업을 제거할 때(재고 관리 시스템이 창고 노동자를 대신한 것처럼), 직업의 진입 장벽은 낮아지고 고용은 확대되며 임금은 하락합니다. 동일한 기술이라도 직업의 어느 부분이 자동화되느냐에 따라 노동 시장의 결과는 정반대로 나타납니다.
하지만 오터와 톰슨은 더 극단적인 가능성도 고려합니다. AI가 인간의 전문성이 경제적 가치를 완전히 상실할 정도로 발전하는 경우입니다. 이 시나리오에서 AI는 노동의 희소성을 제거하고 허버트 사이먼(Herbert Simon)이 한때 말했던 "견딜 수 없는 풍요(intolerable abundance)"를 만들어낼 것입니다. 생산의 자동화는 더 이상 우리가 과거의 사례를 참고하여 관리할 수 있는 수준의 인력 전환 문제가 아닐 것입니다. 우리는 역사적으로 사회를 지탱해 온 노동 시장 없이도 사회 조직, 소득 분배, 민주적 안정을 유지할 도구가 필요할 것입니다.
우리는 다른 시나리오를 고려해 보고자 합니다. 자동화가 인간의 생산물과 그 상품들을 복제할 수 있지만(큰 가정이긴 합니다!!), 인간의 노동이 사라지지 않는 시나리오입니다. 어떻게 그럴 수 있을까요? 많은 분석은 경제를 주어진 것으로 가정합니다. 즉, 경제에 의해 생산되는 일련의 일자리와 재화/서비스 세트가 있다고 봅니다. 만약 동일한 재화/서비스 세트를 더 저렴한 기계가 생산할 수 있다면, 이 기계들이 인간을 대체하고 일자리는 사라집니다. 하지만 구조적 변화의 경제학은 인간 선호의 뿌리 깊은 특징과 결합하여 다른 가능성을 시사합니다. 사람들이 부유해질수록 단순히 더 많은 상품을 원하는 것이 아닙니다. 그들은 표준적인 의미의 상품이 '아닌' 것을 원합니다. 관계, 지위, 독점성과 같은 제품의 사회적 측면, 즉 르네 지라르(Rene Girard)가 욕망의 '모방적(mimetic)' 속성이라 부른 것들은 사람들의 기본적 욕구가 충족되고 나면 훨씬 더 중요해집니다. 그리고 이러한 속성에 대한 수요는 생산 과정에 다시 인간적 요소를 불러올 것이며, 그와 함께 일자리도 돌아올 것입니다.
이 가설이 맞다면 AI는 단순히 상품 경제를 자동화하는 데 그치지 않을 것입니다. AI는 새로운 것, 즉 지출의 점점 더 많은 부분이 그 서비스를 제공한 인간과 가치를 분리할 수 없는 재화와 서비스로 향하는 '포스트 상품 경제(post-commodity economy)'의 등장을 촉발할 것입니다. 미국 노동력의 40%를 농장에서 공장과 사무실로 이동시켰던 것과 동일한 경제적 힘이, 노동자들을 자동화 가능한 상품 생산에서 제가 **관계형 섹터(relational sector)**라고 부르는 곳으로 이동시킬 것입니다. 여기서 관계형 섹터란 인간 집약적이고, 출처(provenance)가 풍부하며, 때로는 장인 정신이 깃든 경제 부문을 의미하며, 인간적 요소 자체가 재화나 서비스 가치의 일부가 되는 곳입니다. 희소성의 경제학은 사라지지 않고 그 위치만 옮겨갈 뿐입니다.
이러한 주장이 처음 제기된 것은 아닙니다(필자, 셉 크리어(Seb Krier), 아담 오지멕(Adam Ozimek), 필립 트라멜(Philip Trammell)의 글 참조). 이 글의 목적은 이 논의를 정교화하는 것입니다. 먼저 경제가 거대한 생산성 충격에 역사적으로 어떻게 반응해 왔는지, 즉 구조적 변화의 경제학에 대해 우리가 알고 있는 사실부터 시작하겠습니다. 그런 다음 새로운 요소를 도입하겠습니다. 독점성과 지위에 대한 욕망을 생성하는 모방적 선호에 뿌리를 둔 행동적 미시 기초(behavioral microfoundation)입니다. 이는 왜 장인적 재화(인간적 요소가 가치와 직접 연결된 것)가 특히 높은 소득 탄력성을 갖는지 설명해 줍니다. 저는 명확한 예측을 내놓는 간단한 모델을 살펴볼 것입니다. 자동화된 섹터는 GDP에서 차지하는 비중이 줄어들고, 관계형 섹터는 성장한다는 예측입니다. 그리고 이를 제가 이전 글에서 제기했던 질문, 즉 AI가 마이너스 경제 성장을 초래할 수 있는지에 대한 질문과 연결 지을 것입니다. 이 프레임워크는 그 가설에 더욱 반박하는 근거가 됩니다.
여기서 필자의 주장은 노동 소득 분배율(labor-share)에 대한 가장 강력한 버전의 이야기보다는 좁은 범위에 한정됩니다. 필자는 노동의 총 분배율이 반드시 상승해야 한다거나 현재 수준을 유지해야 한다고 주장하는 것이 아닙니다. 자동화가 진행됨에 따라 노동 분배율은 줄어들 수도 있습니다. 필자의 주장은 부유한 경제에서의 '섹터 간 재배분'에 관한 것입니다. AI가 상품 생산을 저렴하게 만들면, 지출과 고용은 인간의 개입이 여전히 가치를 지니는 소득 탄력성이 높은 섹터로 이동합니다. 즉, 노동 분배율이 떨어지더라도 관계형 섹터는 여전히 경제의 상당 부분을 차지할 수 있습니다. 하지만 중요한 것은 관계형 섹터에 대한 수요의 내재적 속성이 노동이 전체 경제에서 상당한 비중을 유지하도록 보장한다는 점입니다(즉, 0으로 수렴하지 않을 것입니다). 기술 보충 노트에서 이 글의 주장을 공식화된 버전으로 다루고 있으니, 더 정밀한 경제적 논증에 관심이 있다면 확인해 보시기 바랍니다.
또한 이 프레임워크는 소득 상승이 이러한 전환을 뒷받침할 수 있는 선진국에 가장 잘 적용된다는 점을 강조하고 싶습니다. 부유한 국가를 위한 상품 생산을 기반으로 경제를 구축해 온 개발도상국의 경우, 상황은 더 복잡하고 잠재적으로 더 우려스럽습니다.
경제학에는 새로운 기술이 특정 섹터의 생산성을 비약적으로 높일 때 일어나는 현상을 일컫는 용어가 있습니다. 바로 **구조적 변화(structural change)**입니다. 전형적인 예는 농업입니다. 1900년에 미국 노동력의 약 40%가 농업에 종사했습니다. 오늘날 그 수치는 2% 미만입니다. 사람들이 먹는 것을 그만두었을까요? 아닙니다. 오히려 훨씬 더 많이 먹고 있습니다. 대규모 자동화가 농부들, 그리고 결과적으로 기업형 농장들의 생산성을 훨씬 더 높였습니다. 농업 생산량은 급증했고 가격은 하락했습니다. 하지만 사람들은 먹을 수 있는 양에 한계가 있기 때문에, 부유해질수록 소득에서 식비가 차지하는 비중은 줄어들었고 노동자들은 제조업으로, 그다음에는 서비스업으로 이동했습니다. 가격 하락과 노동력의 타 섹터 재배분이 동시에 일어나면서, 더 생산적이고 자동화된 섹터가 더 많은 서비스를 제공하고 생산함에도 불구하고 경제에서 차지하는 비중은 오히려 작아지는, 어쩌면 직관에 반하는 결과가 나타났습니다. 반면 비용이 떨어지지 않았고 오히려 상승한 덜 생산적인 섹터(서비스업)는 경제의 더 큰 부분을 차지하게 되었습니다. 이것이 '보몰의 비용 질병(Baumol’s cost disease)'으로 알려진 현상이며, 아래 그림 1에서 대만의 변화 과정을 확인할 수 있습니다.




그림 1: 대만의 섹터별 고용 비중. 고용은 GDP 기여도를 밀접하게 추종합니다. 농업은 감소하고, 제조업은 상승 후 하락하며, 서비스업은 꾸준히 상승합니다.
이 과정의 공식적인 경제학적 원리는 디에고 코민(Diego Comin), 다니알 라슈카리(Danial Lashkari), 마르티 메스티에리(Mart’i Mestieri)의 2021년 Econometrica 논문에 아름답게 정리되어 있습니다(이를 알려준 피터 맥크로리(Peter McCrory)에게 감사를 표합니다). 그들의 핵심 통찰은 수요가 '비동차적(nonhomothetic)'이라는 점입니다. 즉, 사람들은 부유해질수록 모든 것을 비례적으로 더 많이 사는 것이 아닙니다. 소득 탄력성이 더 높은 섹터, 즉 소득보다 수요가 더 빠르게 증가하는 재화로 지출을 옮깁니다. 농업은 소득 탄력성이 낮고(먹는 양에는 한계가 있음), 서비스업은 소득 탄력성이 높습니다(항상 더 좋은 레스토랑, 더 매력적인 경험, 더 세심한 의사가 있기 마련입니다). 그들의 프레임워크는 농업의 쇠퇴, 제조업의 종 모양 상승과 하락, 그리고 서비스업의 꾸준한 상승이라는 역사적 데이터와 잘 일치합니다.
코민 등의 논문에서 핵심적인 점은 주요 메커니즘이 보몰의 비용 질병 그 자체만이 아니라는 것입니다. 자동화된 섹터의 낮은 가격이 실질 소득을 높이고, 상승한 실질 소득이 수요를 소득 탄력성이 높은 섹터로 이동시킨다는 점입니다. 보몰의 비용 질병은 해당 섹터들이 상대적으로 자동화하기 어려운 상태로 남아있을 때 이러한 변화를 강화합니다. 그 섹터들이 자동화하기 '어려운' 이유는 과거처럼 기술적 제약 때문일 수도 있고, 혹은 그 섹터의 가치가 애초에 자동화되지 않는 것에 기반하기 때문일 수도 있습니다. 예를 들어 관계형 섹터에서는 자동화되지 않는 것 자체가 가치 제안의 일부입니다. 즉, 섹터 간 자동화 속도가 비슷하더라도 부유한 가계가 돈을 더 쓰고 싶어 하는 곳이 관계형 섹터라면, 우리는 관계형 섹터가 더 중요해질 것이라고 예상할 수 있습니다.
이것이 AI로 인한 일자리의 변화와 어떤 관련이 있을까요? 코민, 라슈카리, 메스티에리는 소득 효과가 관찰된 구조적 변화 패턴의 75% 이상을 설명한다고 추정합니다. 자동화된 섹터가 저렴해져서 사람들이 다른 것을 산다는 표준적인 이야기인 가격 효과는 약 4분의 1만을 설명합니다. 지배적인 힘은 사실 꽤 간단합니다. 사람들이 부유해질수록 근본적으로 다른 것을 원한다는 것입니다.
중요한 것은 이러한 현상이 부유한 가계의 소비 방식에서 이미 관찰된다는 점입니다. 2022년 미국 노동통계국(BLS) 소비자 지출 조사에 따르면, 소득 상위 20% 가계는 하위 20% 가계보다 총지출이 약 4.3배 많았습니다. 하지만 대면 식사, 엔터테인먼트, 교육 등 관계형 요소가 강한 카테고리에서는 그 비율이 훨씬 더 큽니다. 즉, 부유한 가계는 단순히 물건을 더 많이 사는 것이 아닙니다. 그들은 인간적 요소, 경험, 또는 사회적 의미가 더 중요한 재화와 서비스로 지출을 옮깁니다. 이는 요아힘 후브머(Joachim Hubmer)가 "선호와 기술 사이의 경주(The Race Between Preferences and Technology)"에서 기록한 패턴과도 정확히 일치합니다. 그는 가계 소비 전체 데이터를 사용하여 고소득 가계가 총소비에서 노동 집약적 재화와 서비스에 상대적으로 더 많은 돈을 쓴다는 것을 보여주었습니다. 그는 이를 비동차적 선호의 증거로 해석하며, 다른 기술적 힘이 반대 방향으로 작용하더라도 경제 성장이 소득 효과를 통해 노동 집약적 섹터에 대한 수요를 높인다고 설명합니다.
고등 AI가 광범위한 재화와 서비스의 생산 비용을 획기적으로 낮춘다면, 이 논리는 구조적 변화를 예측합니다. 자동화된 섹터는 경제에서 차지하는 비중이 줄어들 것입니다. 소득 탄력성이 높은 섹터는 성장할 것입니다. 질문은 이것입니다. 포스트 AGI 세상에서 어떤 섹터/재화가 높은 소득 탄력성을 갖게 될까요?
여기서 인간의 선호와 욕망을 결정하는 요인들을 더 자세히 살펴볼 필요가 있습니다. 경제학자들은 보통 선호가 고립된 상태에서 형성되는 것처럼 수요를 모델링합니다. 즉, 재화, 서비스, 또는 경험에서 얻는 '효용'은 그것의 쾌락적 가치(예: 커피 맛이 얼마나 좋은가, 주문 후 얼마나 빨리 나왔는가)에 의해 결정된다고 봅니다. 이는 음식, 주거, 의복과 같은 기본적 욕구를 충족하는 데 예산 제약이 따를 때는 타당합니다. 하지만 그러한 욕구가 충족되고 나면, 다른 힘이 사람들이 원하는 것을 형성하기 시작하며 심지어 지배적이 됩니다. 르네 지라르는 이를 '모방적 욕망(mimetic desire)'이라 불렀습니다. 우리가 어떤 대상을 원하는 이유는 그것의 고유한 속성 때문만이 아니라, 다른 사람들도 그것을 원하기 때문이라는 생각입니다. 우리는 타인이 원하는 것을 원하며, 타인이 가질 수 없을 때 그것을 더욱 원하게 됩니다. 지위, 사회적 자본, 평판 등을 위해서 말이죠. 욕망은 단순히 사람과 대상 사이의 관계가 아니라, 타인이 무엇을 욕망하는가에 대한 함수이기도 합니다.
이 생각은 지라르만의 것이 아니었습니다. 이는 인간 본성에 대한 수 세기 동안의 사유를 관통합니다. 아우구스티누스는 욕망의 정의로운 특징으로 지배욕(libido dominandi)에 대해 썼습니다. 그에게 사람들의 동기는 타인에게는 허락되지 않은 소유의 즐거움과 밀접하게 연결되어 있었습니다. 홉스는 리바이어던에서 영광과 명예를 위한 경쟁을 인간 갈등의 중심에 두었습니다. 사람들은 물질적 안락함뿐만 아니라 타인보다 앞서는 '탁월함'에 의해 동기부여를 받으며, 이 동력은 본질적으로 비교 대상이 있기 때문에 결코 충족되지 않습니다. 루소는 한 걸음 더 나아갔습니다. 그는 인간 불평등 기원론에서 자기 보존을 위한 기본 본능인 '자기애(amour de soi)'와 타인에게 우월하게 여겨지고 싶은 욕구인 '허영심(amour propre)'을 구분했습니다. 허영심은 사회생활의 엔진이자 루소에게는 대부분의 비극의 근원이었습니다. 사람들이 서로를 비교하기 시작하면 우월감을 느끼는 데서 기쁨을, 열등감을 느끼는 데서 고통을 얻게 되며, 이 비교는 한계 없이 계속 높아집니다.
문화 비평가 데이브 히키(Dave Hickey)는 이를 더 평이한 용어로 설명했습니다. 그의 훌륭한 에세이집 *에어 기타: 예술과 민주주의에 관한 에세이(Air Guitar: Essays on Art & Democracy)*에서 히키는 선진국 사람들이 종종 기능적 가치보다 훨씬 더 많은 비용을 지불하고 물건을 산다는 점에 주목했습니다. 그의 예시 중 하나는 아르마니 수트입니다. 아르마니를 사는 사람 중 누구도 체온을 더 잘 유지하기 위해 사는 것이 아닙니다. 그들은 브랜드, 아르마니 뒤에 숨겨진 이야기와의 관계, 그 의미와 평판, 그리고 다른 사람들도 그것이 무엇인지 알고 원한다는 사실을 사는 것입니다. 히키의 요점은 욕망이 단순히 어떤 제품인가뿐만 아니라 그것이 무엇을 의미하는가에 기반한다는 것입니다. 그리고 그 의미, 그 출처는 대규모로 상품화하거나 제조하기 어렵습니다. 그 재화가 희소하다는 사실 자체가 바로 의미를 부여하기 때문입니다. 아르마니가 기성복 라인을 만들기 위해 산업용 기계를 사용하긴 하지만, 하이엔드 수트에는 상당한 인간의 개입이 들어갑니다. 기계의 발전으로 산업적 공정이 하이엔드 수트의 미학을 포함한 기능적 측면을 확실히 복제할 수 있게 되었음에도 불구하고, 인간이 여전히 그 과정에 남아있는 이유는 바로 그것이 수트에 가치를 부여하기 때문입니다.
욕망의 이러한 모방적, 관계적 차원이 코민 등의 프레임워크와 어떤 관련이 있을까요? 그것은 '비교적'이기 때문에 충족되기 어렵기 때문입니다. 이러한 속성을 가진 재화는 소득이 증가함에 따라 특히 높은 소득 탄력성을 가져야 합니다.
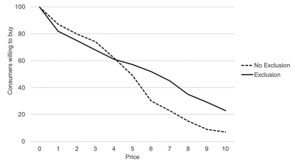
크리스토프 마다라스(Kristof Madarasz)와 필자는 기본적인 경제 교환의 맥락에서 선호의 모방적 차원을 뒷받침하는 근거를 제시했습니다. 우리는 먼저 타인이 원하지만 가질 수 없을 때 재화에 대한 욕망이 증가한다는 공식 모델을 개발했습니다. 이는 진정한 배제(exclusion)가 있을 때, 즉 특정 대상에 대한 접근이 희소하고 타인들이 그것을 갈망하게 될 때 사람들이 그것을 더 가치 있게 여길 것이라고 예측합니다. 우리의 실험에서 피험자들은 제품 자체가 동일함에도 불구하고, 무작위로 선정된 일부 사람들이 제품에서 배제될 것이라는 사실을 알게 되었을 때 지불 의사가 대략 두 배로 증가했습니다(아래 그림 2). 이는 지위 과시(피험자들은 익명이었음)나 희소성 휴리스틱(배제는 무작위였음) 때문이 아니었습니다. 순수하게 타인이 갖지 못한 것을 소유하려는 선호에 의해 주도된 결과였습니다.




그림 2: 배제 여부에 따른 재화에 대한 지불 의사
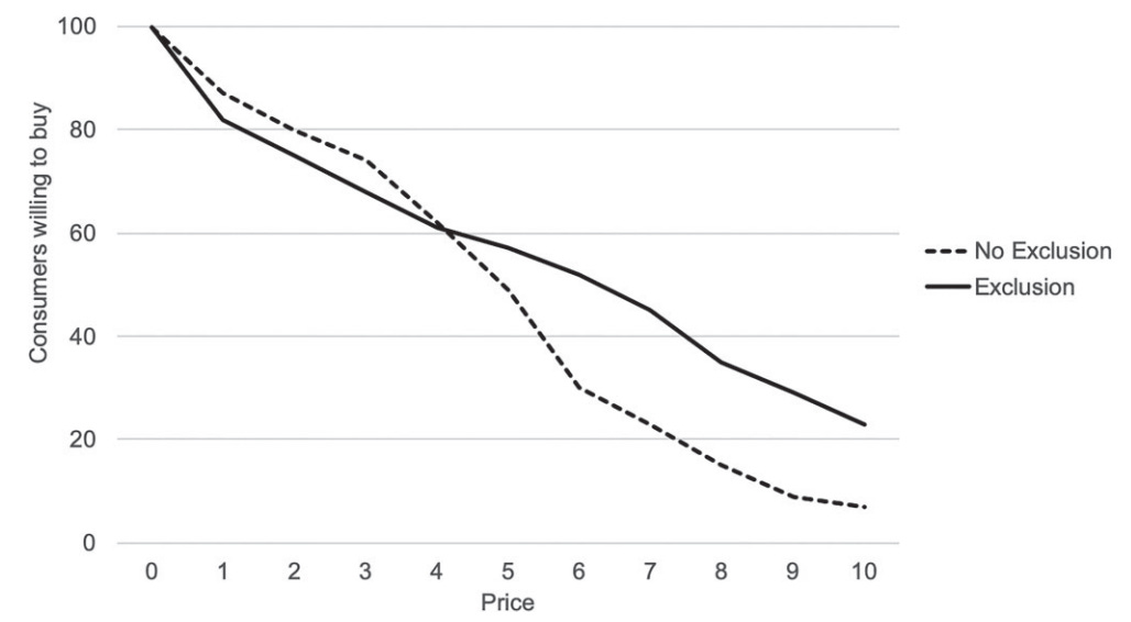
우리는 또한 모방적 선호의 함수로서 실제 수요 곡선을 도출하는 실험도 진행했습니다. 배제의 가능성이 높아짐에 따라 수요 곡선이 오른쪽으로 크게 이동하는 것을 볼 수 있습니다(그림 3). 그 효과는 작지 않습니다. 중앙값 지불 의사가 다시 한번 거의 두 배가 됩니다!




그림 3: 배제 여부에 따른 수요
AI와의 결정적인 연결 고리는 그레일린 만델(Graelin Mandel)과 함께한 새로운 연구에서 나옵니다. 우리는 AI의 개입이 재화의 인지된 독점성을 훼손한다는 사실을 발견했습니다. AI가 개입된 대상은 본질적으로 복제 가능하고 고유하지 않은 것으로 인식됩니다. 사람들은 AI 개입 정도가 다르게 설명된 실물 예술 프린트에 입찰했습니다. 인간이 만든 작품은 독점성(단 한 점 대 여러 점)으로 인해 가치가 44% 상승했지만, AI가 생성한 작품은 그 절반도 안 되는 21%만 상승했습니다. 단순히 AI가 관여했다는 사실만으로도, 작품이 몇 점 존재한다고 말하든 상관없이 언제든 복제될 수 있는 것처럼 느껴지게 하여 본질적인 독점성을 잃게 만든 것입니다.




그림 4: AI 생성 예술의 경우 독점성 프리미엄이 훨씬 작습니다.
저는 이것이 예술가나 럭셔리 공예를 훨씬 넘어서는 문제임을 강조하고 싶습니다. 발터 벤야민은 기계적 복제가 파괴하는 예술 작품의 '아우라(aura)'라는 다른 맥락에서 이에 대해 썼습니다. 하지만 경제적 논리는 예술을 넘어섭니다. 이는 인간적 요소가 가치의 핵심인 모든 카테고리, 즉 교사, 간호사, 치료사, 보육 교사, 트레이너, 환대 산업, 성직자, 가이드 및 다양한 형태의 지역 서비스로 확장됩니다. 이 모든 경우에 인간은 단순히 생산 과정의 투입물이 아닙니다. 그들의 판단, 관심, 기억, 따뜻함, 또는 존재 자체가 가치의 필수적인 부분입니다. 셉 크리어가 말했듯이, 이는 포스트 희소성 시대에도 출처가 여전히 희소하게 남아있는 사례들입니다.
이것이 구조적 변화에 중요한 이유는 선호의 모방적 요소가 본질적으로 '소득 탄력적'이기 때문입니다. 가난할 때는 지출의 대부분이 생산자의 정체가 중요하지 않은 필수품으로 향합니다. 부유해질수록 단순히 기능적인 제품을 사는 것이 아니라 이야기, 희소성, 그리고 타인이 원하는 것을 소유하고 있다는 느낌을 사는 재화에 더 많은 비중을 둡니다. 이것이 관계형 재화와 서비스가 높은 소득 탄력성을 갖는 이유입니다. 소득이 높아짐에 따라 독점성 프리미엄이 총가치에서 차지하는 비중이 커지며, 그 프리미엄은 인간이 만든 재화만이 제공할 수 있는 것이기 때문입니다.
다시 상품 형태로 돌아가 봅시다. 필자는 앞서 이를 산업 자본주의를 가능하게 한 것, 즉 제품을 만든 사람으로부터 제품을 추상화하는 것이라고 정의했습니다. AI가 상품 그 자체를 생산할 수 있게 되면 상품 형태에는 어떤 일이 벌어질까요?
명백한 답은 상품 형태가 논리적 종착지에 도달한다는 것입니다. 인간이 전혀 개입되지 않은 제품 말이죠. 하지만 구조적 변화를 진지하게 고려할 때 나오는 덜 명확한 답은, AI가 단순히 상품 형태를 완성하는 데 그치지 않는다는 것입니다. AI는 또한 경제 활동에서 (엄격한 의미의) 상품 형태가 차지하는 비중의 하락을 촉발합니다.
그 메커니즘은 더 정밀하게 이렇습니다. AI가 상품 생산을 자동화하면 해당 섹터의 가격이 하락합니다. 이는 실질 소득을 높입니다. 사람들이 부유해질수록 더 많이 원하는 재화와 서비스가 불균형적으로 관계형 섹터에 있다면, 수요는 그 방향으로 이동합니다. 보몰의 비용 질병은 이 결과를 증폭시킵니다. 관계형 섹터가 자동화하기 어려운 상태로 남아있다면, 그 섹터는 상대적으로 더 비싸지고 총지출에서 차지하는 비중이 커지게 됩니다.
하지만 AI 자동화의 맥락에서 보몰의 비용 질병은 결함이 아니라 특징입니다. 사프란 황(Saffron Huang)은 최근 AI 기반 구조적 변화의 잠재적인 긍정적 미래에 관한 매우 설득력 있는 글에서 이 점을 지적했습니다.
Saffron Huang @saffronhuang 추가적인 AI 발전이 많이 필요하지 않은 그럴듯한 긍정적 시나리오가 여기 있습니다. 저는 막연하게 말하는 대신 "여기서 저기까지" 가는 경로를 명확하게 그리고 싶었습니다. 그래서 부정적으로 시작하지만 긍정적으로 끝납니다(맹세코요). 경기 침체로 인해 채용이 둔화되고...
Ethan Mollick @emollick AI 연구소들은 사실 그들이 만들고 있는 미래가 우리 대부분에게 실제로 어떤 모습일지 설명하는 데 서툴렀습니다. "자애로운 기계들(Machines of Loving Grace)"조차 앤스로픽이 목표를 달성했을 때 삶이 어떠할지에 대한 명확한 비전이 거의 없습니다. (https://x.com/saffronhuang/status/2039433283797451254?s=20)
인간 서비스의 상대적 고비용은 예산 문제가 아니라 노동 시장의 해결책이 되기 시작합니다. 자동화에 저항하는 '정체된' 섹터가 바로 지출과 고용이 성장하는 곳입니다. 상품 섹터가 저렴해지기 때문에 관계형 섹터가 상대적으로 더 비싸지는 것이며, 이것이 사람들의 고용을 유지해 줍니다.
이것이 실제로 어떤 모습일까요? 사프란은 그럴듯하고 구체적인 그림을 그렸습니다. 자동화된 제조를 통한 물질적 풍요는 물건값이 싸다는 것을 의미합니다. 대부분 사람의 지출은 인간 중심의 서비스로 향합니다. 오늘날의 사치품이 미래 소비자들에게는 기본이 됩니다. 상품 생산이 자동화됨에 따라 소득과 고용은 소득 탄력성이 높은 섹터로 흐릅니다. 제가 관계형 섹터라고 부르는 예술뿐만 아니라 돌봄, 교육, 환대, 치료, 개인 서비스, 장인 정신, 그리고 공동체와 같이 인간적 요소가 가치의 일부인 곳들입니다. '정체된' 섹터는 자동화될 수 없기 때문에 오히려 지출과 일자리의 점점 더 큰 비중을 흡수합니다. 그곳에 일자리가 있습니다. 이 과정에 대한 수학적 모델에 관심이 있다면 여기에서 확인하실 수 있습니다. 다음은 그것이 어떤 모습일지에 대한 잠재적인 그림입니다.




그림 5: AGI와 함께하는 구조적 변화
인정하건대, 마르크스는 이 결과를 이상하게 여겼을 것입니다. 하지만 주의할 점이 있습니다. 뚜렷한 인간적 요소가 있는 제품이 곧 탈상품화된 노동을 의미하는 것은 아닙니다. 당신의 수트를 꿰매는 재단사나 당신을 개인적으로 아는 교사는 여전히 자본에 관계형 노동을 판매하고 있을 수 있습니다. 제품의 인간적 측면이 경제적으로 더 두드러지더라도 생산의 사회적 관계는 여전히 완전히 자본주의적일 수 있습니다.
따라서 필자의 주장은 더 좁은 범위입니다. AI는 지출에서 상품 섹터가 차지하는 비중을 줄이고, 인간적 요소가 가시적이고 가치 있게 남아있는 재화와 서비스의 비중을 높일 수 있습니다. 그것이 마르크스적 의미의 상품화의 종말은 아닙니다. 그것은 수요 구성의 변화입니다. 그럼에도 불구하고 이는 노동 시장에 중요합니다. 구조적 변화의 방향이 대체되는 일자리보다 어떤 면에서는 더 개인적이고, 더 관계적이며, 덜 대체 가능한 업무로 향할 수 있기 때문입니다.
이는 필자가 이전에 썼고, 특히 "시트리니 에세이(Citrini essay)" 발표 이후 많은 사람의 뇌리에 박힌 주제와 연결됩니다. 고등 AI가 마이너스 경제 성장을 초래할 수 있는지에 대한 필자의 에세이에서, 필자는 AI가 대부분의 노동을 자동화하고 임금 분배율이 붕괴하면 경제가 잠재적으로 수축할 수 있음을 보여주었습니다. 그 메커니즘은 이렇습니다. 돈이 있는 사람들(자본가)은 이미 포만 상태인 반면, 돈이 없는 사람들(실직한 노동자)은 아무것도 살 수 없습니다. 재화와 서비스를 구매하여 경제를 작동시키던 사람들이 더 이상 그럴 돈이 없기 때문에 수요가 붕괴하는 것입니다.
그 글의 핵심 방정식은 다음과 같았습니다.

수요는 승수(노동 분배율 이 떨어지기 때문)가 기초 소비 (포만감 때문)가 확장되는 속도보다 빠르게 줄어들 때 붕괴합니다.
모방적 욕망은 이러한 시나리오에 반대되는 힘으로 작용합니다. 왜냐하면 수요의 이러한 측면은 쉽게 충족되지 않기 때문입니다. 위에서 강조했듯이, 지위와 독점성에 대한 선호는 비교적이라는 특성 때문에 소득이 높아짐에 따라 사람들은 이를 충족하는 재화로 지출을 계속 재배분할 것입니다. 비동차적 CES 프레임워크는 소득에 따라 지출 비중이 계속 변할 수 있도록 함으로써 이를 포착합니다. 이것이 어디에도 천장이 전혀 없다는 뜻은 아닙니다. 시간 제약이나 다른 희소한 보완재들이 여전히 중요합니다. 하지만 이는 경제가 단순한 포만감 이야기보다 훨씬 더 큰 분출구(release valve)를 가지고 있음을 의미합니다.
자동화된 재화에 대한 수요가 천장에 부딪히더라도, 관계형 재화에 대한 수요는 매우 넓은 범위에서 계속 성장할 수 있습니다. 구조적 재배분은 분출구 역할을 합니다. 경제는 모든 사람이 자동화된 물건을 계속 더 많이 살 필요가 없습니다. 사람들이 부유해짐에 따라 더 중요하게 여기는 영역으로 지출이 이동하기만 하면 됩니다.
이 모델이 맞다면, 미래의 지속 가능한 일자리는 AI 시스템을 모니터링하거나 프롬프트 엔지니어링을 하는 일이 아닐 것입니다. 그것들은 자동화 섹터에서의 과도기적 역할일 뿐입니다. 지속 가능한 일자리는 인간적 요소 자체가 제품인 관계형 섹터에 있을 것입니다.
일부는 이미 존재하며 성장하고 있습니다. 간호사, 치료사, 교사, 부티크 피트니스 강사, 개인 셰프, 맞춤형 재단사, 수제 맥주 양조업자, 라이브 공연자, 영적 가이드, 보육 교사, 그리고 다양한 종류의 환대 및 돌봄 노동이 그것입니다. 경험 디자이너, 인간-AI 협업 아티스트, 출처 인증 전문가, 커뮤니티 큐레이터 등 새로운 직업들도 등장하고 있습니다. 오늘날 사람들이 가진 직업 10개 중 6개가 1940년에는 존재하지 않았던 것처럼, 아직 발명되지 않은 직업도 많을 것입니다.
필자가 이런 말을 할 때 가장 흔히 듣는 반론은 "하지만 모든 사람이 창의적인 것은 아니며, 모든 사람이 예술가가 될 수는 없다"는 것입니다. 필자는 이것이 요구되는 바를 오해하고 있다고 생각합니다. 피카소가 될 필요는 없습니다. 당신의 개입이 그 제품을 '누군가에 의해, 누군가를 위해' 만들어진 것처럼 느끼게 만드는 사람이면 충분합니다. 구조적 변화의 경제학은 기술이 한 유형의 생산을 저렴하게 만들 때 경제가 붕괴하지 않는다는 것을 알려줍니다. 경제는 변모합니다. 기술이 저렴하게 만들 수 없는 것들로 이동합니다. AI에게 있어 그것들은 바로 인간의 개입이 고유하고 대체 불가능한 가치를 지니는 것들입니다.
마지막으로 다른 관점을 고려하며 마무리하고자 합니다. 필립 트라멜의 에세이는 노동이 사치품이 되는 미래의 가능성을 고찰합니다. 그 글에서 트라멜은 자본이 축적되고 기계가 생산하는 품종이 확산됨에 따라 노동의 총 분배율이 한계적으로 높게 유지될 것인가라는 점근적 질문을 던집니다. 이 에세이의 초점은 다릅니다. 부유한 경제에서 AI가 상품 생산을 저렴하게 만들 때 섹터별 지출과 고용에 어떤 일이 일어나는가 하는 점입니다.
그 질문에 대해 필자는 더 넓은 역사적, 이론적 관점을 취할 가치가 있다고 생각합니다. 첫째, 구조적 변화의 증거는 소득 효과가 대부분의 역할을 한다는 것을 보여줍니다. 지배적인 역사적 패턴은 단순히 생산성 성장이 빠른 섹터가 저렴해지고 노동력을 방출하는 것이 아닙니다. 사회가 부유해짐에 따라 사람들이 다른 종류의 재화로 지출을 재배분한다는 것입니다. 이것이 코민, 라슈카리, 메스티에리 논문의 핵심 결과입니다. 그들의 모델은 농업의 쇠퇴, 제조업의 종 모양 상승과 하락, 그리고 서비스업의 장기적 상승을 설명하기 위해 구축되었으며, 소득 효과가 국가 내 섹터 재배분의 대부분을 차지한다는 것을 발견했습니다. 트라멜은 표준 거시 모델들이 너무 많이 합산(aggregate)하고 종종 동차적 선호를 가정하기 때문에 노동이 중요하게 남을 가능성을 과소평가한다는 점을 매우 잘 짚어냈습니다. 하지만 필자는 관련 질문이 노동의 총 분배율이 상승하느냐가 아니라고 생각합니다. 상승하지 않을 수도 있습니다. 관련 질문은 상품 생산이 저렴해진 후 어떤 섹터가 지출과 고용을 흡수하느냐, 그리고 노동이 재배분된 그 섹터가 여전히 경제의 상당 부분을 차지하느냐 하는 것입니다.
후브머의 연구는 이 두 주장이 분리될 수 있음을 보여주기 때문에 도움이 됩니다. 고소득 가계는 노동 집약적 재화와 서비스에 상대적으로 더 많은 돈을 쓰므로, 성장 자체가 다른 기술적 힘이 총 노동 분배율을 낮추더라도 노동 함량이 높은 섹터 쪽으로 수요를 기울게 합니다. 그리고 노동이 경제의 상당 부분으로 남을 것인가라는 질문에 대해서는, 오늘날 매우 부유한 사람들(예: 억만장자)이 시간과 돈을 어디에 쓰는지 보면 됩니다(이 점을 지적해 준 톰 커닝햄(Tom Cunningham)에게 감사합니다). 물론 자본과 비관계형 재화에도 많은 돈을 쓰지만, 엄청난 양의 시간과 돈이 '관계형' 제품에 소비됩니다. 부자들은 수제 옷을 사고, 누구누구가 만든 수제 예술품을 사며, 손으로 직접 고르고 준비한 음식을 먹습니다. 그리고 그들은 자신의 생각이 다른 인간들에 의해 들리고 논의되도록 하는 다양한 플랫폼에서 (아마도 너무 많은) 시간을 보냅니다. 르네 지라르라면 이것이 일시적인 현상이 아니라 인간 욕망의 기본적인 속성 때문이라고 말할 것입니다.
둘째, 장인 정신의 쇠퇴 역사는 주의 깊게 읽어야 합니다. 지난 2세기 동안 수많은 전통적 장인 고용이 사라진 것은 사실입니다. 하지만 그것 자체가 관계형 섹터에 대한 수요가 약하다는 증거는 아닙니다. 산업화가 한 일은 많은 장인 제품의 '기능적 결과물'을 훨씬 저렴한 상품으로 대체한 것이었습니다. 기계로 만든 셔츠, 의자, 축음기는 과거 비용의 아주 일부만으로 핵심 소비 욕구를 충족할 수 있었고, 대부분 가계의 예산 제약이 여전히 엄격했기 때문에 더 저렴한 상품이 승리했습니다. 따라서 그 역사적 패턴은 필자의 주장과 일치합니다. 질문은 상품이 충분히 저렴해진 '이후'에 어떤 일이 벌어지느냐는 것입니다. 구조적 변화는 기본적인 상품 소비가 저렴해지고 소득이 충분히 높아지면 지출이 다시 한번 이동하며, 이번에는 인간적 요소 자체가 가치의 일부인 섹터로 향한다는 것을 시사합니다. 따라서 필자는 장인의 역사적 쇠퇴가 이 논의의 결론이라고 생각하지 않습니다. 그것은 더 긴 과정의 한 단계일 뿐입니다.
마지막으로, 인간적 재화의 범주는 예술가나 진정성 있는 물건보다 훨씬 넓습니다. 교육, 돌봄, 환대, 치료 및 다양한 지역 서비스는 이 에세이의 다른 부분에서 설명한 이유로 서비스의 가치가 이를 제공하는 인간과 점점 더 연결될 가능성이 높은 카테고리입니다. BLS 소비자 지출 조사에 따르면 소득 상위 20% 가계는 저소득 소비자보다 이러한 관계형 카테고리에 훨씬 더 많은 돈을 썼으며, 현재도 이 섹터들은 경제에서 작은 부분이 아닙니다. 미국에서 이 분야들은 합쳐서 거의 5,000만 명을 고용하고 있습니다. 이는 포스트 AGI 시대에 관계형 섹터가 전체 경제에서 상당한 비중을 차지할 것이라는 주장에 신빙성을 더해줍니다.
이 에세이를 형성하는 데 아이디어를 준 셉 크리어, 크리스토프 마다라스, 그레일린 만델에게 감사를 표합니다. 또한 훌륭한 피드백과 대화를 나누어 준 톰 커닝햄, 조 히직(Zoe Hitzig), 사프란 황, 피터 맥크로리, 팀 오라일리(Tim O’Reilly)에게도 감사를 전합니다.


[1] 필자는 인간 노동만이 희소하게 남을 것이라고 주장하는 것이 아닙니다. 토지, 에너지, 컴퓨팅 파워 및 기타 고정되거나 준고정된 투입 요소들 또한 막대한 소득을 흡수할 수 있습니다. 필자의 주장은 인간 노동이 더 이상 지배적인 희소 요인이 아닐지라도, 인간적 요소 자체가 가치의 일부인 섹터로 수요가 이동하기 때문에 여전히 경제의 상당 부분으로 남을 수 있다는 것입니다.
[2] 이것이 경제학자들이 선호의 사회적 차원을 완전히 무시해 왔다는 뜻은 아닙니다. 예를 들어 애컬로프(Akerlof)와 크랜턴(Kranton)의 정체성 경제학 연구, 알베르토 비신(Alberto Bisin)의 문화가 선호에 미치는 영향에 관한 연구 등을 참조하십시오. 또한 행동 경제학에는 맥락 효과가 의사결정과 신념에 미치는 영향을 모델링하는 오랜 전통이 있습니다.
0
1

댓글

?

아직 댓글이 없습니다.

첫 번째 댓글을 작성해보세요!

유사한 내용의 글